코드네임 :
💿자료구조 - 레드-블랙 트리 본문
NIL 닐
일반적으로 이진 트리의 노드는 값과 left 및 right를 가지는데, left나 right 중 하나 이상이 None 일 수 없음
- 즉 좌측 자식이 없거나, 우측 자식이 없거나, 둘다 없거나
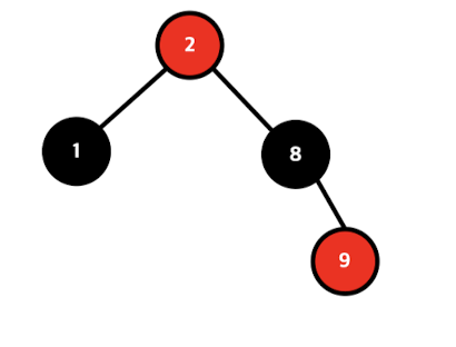
모든 None 을 NIL 로 규정 시 아래와 같은 트리를 얻을 수 있음
모든 leaf노드 is NIL
값을 가지는 모든 노드는 내부 노드



Recoloring & Restructing

걍 아래는 위에꺼 손으로 해보기 전 적어놧던 개념..
Recoloring 과정
>> 원소 추가시엔 Red만 추가하기 떄문에, Black의 수는 신경 쓸 필요 없고, Red 연속만 신경쓰기







그런데 중간에 삼촌 노드 땜에 만족하지 않는 경우가 생겼다! ( NIL = 검정)
이땐 어떻게 해야 할까?

Restructuring 과정
>> 균형화 후 Recoloring

따라서!!!

'👩💻알고리즘 > 자료구조' 카테고리의 다른 글
| 💿자료구조 - B-트리 (0) | 2024.05.09 |
|---|---|
| 💿자료구조 - AVL 트리 구현 (0) | 2024.05.09 |
| 💿자료구조 - 이진 탐색 트리의 구현 & AVL 트리 (0) | 2024.05.09 |
| 💿자료구조 - 이진 탐색 트리 (0) | 2024.05.09 |
| 💿자료구조 - 이진트리와 순회 (0) | 2024.04.18 |